Tag

Green Chemistry

All articles tagged with #green chemistry

"Low-Powered Lasers Offer Innovative Solution to Plastic Waste Crisis"
environment1 year ago

"Low-Powered Lasers Offer Innovative Solution to Plastic Waste Crisis"

A global research team led by Texas Engineers has developed a laser-based method to break down tough plastics into valuable components, offering a sustainable approach to plastic pollution. This technique uses low-power light to decompose plastics into luminescent carbon dots, which have potential applications in various industries. The discovery, published in Nature Communications, represents a significant step towards efficient plastic recycling and advancing green chemistry. Further research is needed to optimize and scale up the process for industrial use.

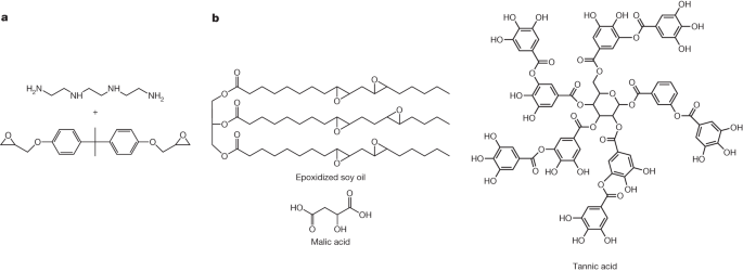
Eco-friendly adhesives: Harnessing nature for sustainable bonding
science-and-technology2 years ago

Eco-friendly adhesives: Harnessing nature for sustainable bonding

Researchers are exploring the use of sustainably sourced components, such as lignin and epoxidized soybean oil, to develop high-strength adhesives. These bio-based materials offer advantages beyond renewability, including improved mechanical properties and reduced environmental impact compared to traditional epoxy resins. Inspired by natural adhesives found in mussels and other organisms, scientists are incorporating catechol-based compounds and weak bonds into biomimetic adhesives to enhance toughness and performance. The development of eco-friendly antifungal coatings and recyclable non-isocyanate polyurethanes further demonstrates the potential of sustainable materials in the adhesives industry.

Microbes Powered by Electricity Confirmed in First Experiment
science-and-technology2 years ago

Microbes Powered by Electricity Confirmed in First Experiment

Researchers at the Leibniz Institute for Natural Product Research and Infection Biology have experimentally confirmed that bacteria use electrons from hydrogen in microbial electrosynthesis to produce more chemical substances than previously known. Microbial electrosynthesis is a promising technology that can bind carbon dioxide, produce ethanol and other organic compounds that can be used as fuel, and thus store excess electricity. The researchers optimized the process for the highest possible yields and found that amino compounds were formed that the bacteria do not normally produce, which could be used in the chemical industry.

"Revolutionary Catalyst Converts Methane into Valuable Chemicals Using Sunlight"
science-and-technology2 years ago

"Revolutionary Catalyst Converts Methane into Valuable Chemicals Using Sunlight"

Researchers from the University of Hong Kong and Tsinghua University have developed a tungsten trioxide (WO3) catalyst that can convert methane into formaldehyde with nearly 100% selectivity under visible light. The catalyst features a dual active site comprising copper and tungsten atomic species that work in tandem to ensure an effective and selective conversion process. Formaldehyde is a high-volume commodity chemical with a market value of USD 8 billion, expanding at a compound annual growth rate (CAGR) of 5.7%.