A new app called Emobot uses a phone's front camera to analyze facial expressions and monitor mental health, particularly depression, by tracking mood changes and treatment effectiveness, with data processed locally on the device to ensure privacy.
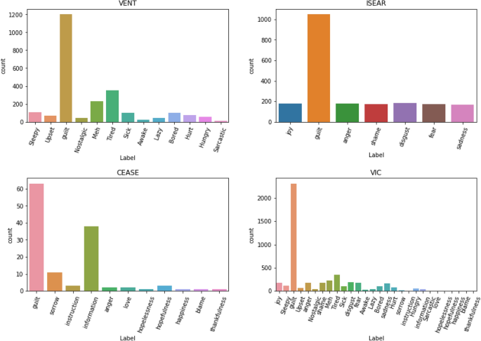
Researchers have introduced guilt detection as a novel task in Natural Language Processing (NLP) and developed a dataset and baseline classifiers for this purpose. Guilt can be detected in text through linguistic markers that indicate remorse or a sense of responsibility. The study highlights the importance of considering cultural and individual differences in the expression and interpretation of guilt-related language. Detecting guilt in text has potential applications in mental health, social media analysis, and criminal justice. The researchers aim to fill the research gap in NLP by focusing on guilt detection and developing a dedicated guilt detection dataset.