
"Unveiling the Hazards: Rethinking the Safety of Cleaning Products"
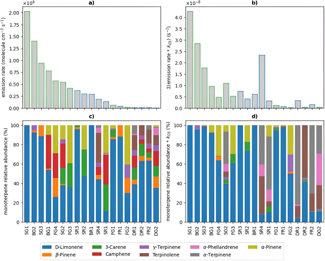
A study has found that many cleaning products labeled as "green" emit just as many harmful chemicals as regular products, potentially damaging indoor air quality and putting people's health at risk. The research revealed that fragranced cleaning products emit a wide range of volatile organic compounds (VOCs), including some that are hazardous or can generate harmful secondary pollutants. The study emphasizes the need for better regulation and clearer information for consumers about the potential risks associated with using these products.





